OptiStruct随机振动分析 原理 PSD应力 RMS应力 1σ应力 概念解释
随机振动分析结果的解释 文|澳汰尔 王维金
写在前面:
随机振动分析和频响分析
随机振动与频响分析相比:
随机振动的输入为功率谱密度(无明确相位);频响分析输入为频谱(幅值+相位),即可以理解为相位的随机性
随机振动的输出也为功率谱密度(无明确相位);频响分析的输出也为频谱(幅值+相位)
鉴于随机振动的相位随机性,随机振动分析得到的频域结果,可以回归等效(逆变换)为一系列的时间历程曲线,其集合可以得到一个完整的随机过程。而频响分析的结果可以回归等效(逆变换或者傅里叶级数叠加)至唯一的时间历程曲线,也就是我们常说的确定性过程。
鉴于上述的原因,对于随机振动分析,我们只能用统计学的角度去得到一些有意义的结果,而不是能像频响分析一般,可以直接得到应力幅值、最大值等明确性指标。
随机振动分析关心的结果
对于要得到统计学上的指标,首先我们得知道激励或者响应是服从什么分布的,否则也无从谈起统计学指标,然而对于我们的现实生活,大部分的自然/物理现象都服从正态分布(高斯分布),因此对于随机性研究我们也假设我们的输入是服从高斯分布的(当然大多数情况也是自然满足的)。因此随机振动分析准确的说我们研究的是高斯随机过程。
高斯分布及随机振动分析的假设
对于高斯分布,有两个基本参数:均值和标准差,知道了这两个参数就可以得到高斯分布的概率密度曲线,进而基于概率密度曲线可以得到该曲线对应的一系列事件(这里可以认为是我们的时域曲线)他的均值、分布概率、每个值所发生的概率等等。

如上图,知道了高斯分布参数,我们就可以知道某一个时间发生的概率,比如图上当响应为2m/s^2时,其发生的概率是多少。
对于高斯分布,如果均值为零,那么就只有一个标准差参数了,我们仿真中也有这样的假设,而且他从软件计算层面也是先天满足的。首先一般我们给定的功率谱密度,往往在0Hz处是0;0Hz的值代表的就是均值;即便我们给的载荷在0Hz处不为零,OS也是无法计算和输出0Hz处的结果的,也认为他是零。所以他在os里是先天满足的。
因此,我们经常讲在随机振动分析中有两个基本假设就是:
-载荷和响应都服从高斯分布(正态分布)
-零均值假设
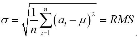
可见,鉴于这个合理假设。对于我们的随机振动分析,我们可以理解为我们就是想得到标准差!知道了标准差就知道了具体的高斯分布过程,那么就可以知道其概率分布。
标准差的公式见下,由于零均值,所以他就等于均方根值,或者叫做有效值RMS,所以一般情况下我们都不加区分的说rms应力,其实他指的就是1σ应力。

为什么要用随机振动分析
上述阐述了随机振动分析和频响分析的差异,以及对于随机振动分析我们只能得到统计意义上的结论,那么为什么我们会要用随机振动分析代替频响分析呢?原因可以归结为以下几类:
- 频谱载荷是通过包络得到的,通过包络产品在整个服役期间各类载荷,得到一个包络谱,也就是说该包络谱涵盖了所有的载荷可能性,这样得到的载荷谱往往是在相位上无表征的,也就是随机的,通常是功率谱密度,因此自然也就是用随机振动分析,如一些标准提供的载荷谱曲线

- 激励本身具有随机性,我们往往测的是其中的一段而已,如果我们想得到完整的激励的响应,那么就用随机振动分析,当然有个前提假设就是各态历经;也就是这一段激励在时间上的特性可以模拟空间上的特性。
- 考虑激励之间的相干
如何求RMS
前面提到了我们想要通过随机振动分析得到标准差σ或RMS值(后续将不再刻意区分),进而得到确定的高斯过程,得到一些统计学结论。
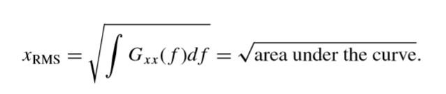
然而对于随机振动分析,我们是在频域进行分析的,激励是功率谱密度,响应也是功率谱密度,那么如果通过功率谱密度曲线得到RMS值呢?
这里就用到信号处理中一个重要的定理:帕塞瓦尔定理
帕塞瓦尔定理描述的是能量的守恒,即信号的总能量等于各个分量的能量之和,或者说能量是守恒的,不在乎是在时域表达或者频谱表达。
能量在时域中往往通过均方值来表达,下图左式/T就是均方值,右侧/T之后积分内就是功率谱密度的定义,RMS值均方根值即均方开根号,也就是说功率谱密度积分(也就是PSD谱下的面积)开根号就是我们想要得到的RMS值。




如上图左侧,可以得到任意频率之间的RMS值,也可以得到整个频段的RMS值;右侧是RMS cumulated。也就是RMS在各频率的逐步累加图的显式。最后一个频率下累加的RMS就是整个频段下RMS值。
RMS结果的解读
根据随机振动结果,知道了RMS值之后,可以基于高斯分布的基本特性知道如下信息:
也就是响应分布在1RMS范围内概率是68%;2RMS范围内的概率是95%;3Sigma范围内的概率是99%。

也许在时域里会更加有助于理解,下图是将我们的PSD响应给其一个随机的相位信息,通过傅里叶逆变换得到的一个时间历程曲线(可以认为是随机过程中的一个样本)。
中间是我们得到的PSD响应,该响应RMS为6.73;其逆变换得到的时间历程曲线见上,可见均值为0;最下图为该时域响应幅值在各个区间的直方图统计,可见基本呈正态分布。
响应分布在1σ(6.73)内的分布如黑色竖线以内,概率为68%;在2σ(13.4)内的分布如红色竖线以内,概率为95%;在3σ(21)以内的分布如绿色竖线,概率为99%。
也就是说,在某个随机激励工况下的响应有99%的概率在21以内。
当然我们可以根据其他概率目标确定应力的分布。

随机振动分析结果输出控制卡片示例如下,以应力说明:
Stress(PSDFC,H3d)= all
得到的结果会有以下几类:
- PSD Stress
随机振动分析得到的应力功率谱密度曲线
PSD stress结果为曲线,即PSD Stress Vs.Freq 的曲线,PSD stress的单位为:Mpa^2/Hz。其结果可描述每一个频率下其应力的“功率或者能量”。所谓应力的能量可以理解为单纯的应力的平方。
因此如果想知道在激励频率下其应力曲线,即应力谱(stress spectrum),则可以将PSD Stress乘以频率间隔△f,然后开根号。即:
Stress spectrum = sqrt(PSD Stress * △f)
对于应力谱的理解是比较容易的,可以归类为传统的频响分析,即描述的就是在某个激励频率下,其应力的幅值。比如:某个频率f1下对应的幅值为A,则其表达的就是:
Stress = A*cos(2*π*f1)
即如果激励在f1频率下稳定激励时,结构的应力响应会是A。上式与传统的频响分析结果比较可见,缺少了相位。这是比较明显的差别,也可以理解为随机响应分析的“随机性”体现在相位上。
这里需要说明的一点就是,这里得到的应力谱其幅值为RMS格式,即A/sqrt(2)。
一般对于随机振动来讲,我们不是关心某一个频率下的应力,而是关心整体的应力标准差,或者说是应力分布区间,也就是RMS应力。而利用PSD stress可以提供给我们基本的优化思路,如果要减小rms应力,那么应该要重点降低那个频率下PSD应力,方便我们诊断问题。
RMS应力与PSD应力上文都有描述。

(胡建炜注)PSDF输出应力PSD谱,HV云图的结果单位也是MPa^2/Hz。
输出的psd应力谱通过HG打开,单位为MPa^2/Hz,该曲线积分后开方等于RMS值。当用HV打开h3d文件时,云图中各频率的应力数值跟psd应力谱一致,即HV中的云图PSD单位也是MPa^2/Hz。


- RMS Stress
RMS(1σ)应力即PSD stress 下面积开根号,其结果归类为 “RMS over frequencies”结果 ;如果要想得到3RMS结果,则直接数值计算乘以3即可。


RMS Cumulated | RMS累加值
RMS累加结果,输出到该频率下的RMS累加结果 例如, “RMS displacement (cumulated)” for freq=100Hz ,输100Hz以前的位移RMS累加结果,单位为[mm]。
当RMS累加至最后一个频率时其值就等于RMS over Freq的值。

我经常访问 旅行者网站。令人惊艳掌握出行细节。